网站通行证  
天津考研网 资讯中心-网尽考研信息 考研专卖店-考研资料书籍一站购齐 考研辅导班 BBS社区-便易的交流平台 专业课教材 院校导航-权威院校招生信息 下载中心-海量考研复习资料 客服中心-解决所有问题 考研热线4000220908
 您现在的位置: 天津考研网 >> 资讯中心 >> 复习指导 >> 政治 >> 正文 相信自己,加油!
    [组图]2016考研数学冲刺:极限的计算
2016考研数学冲刺:极限的计算
责任编辑:lws6536  作者:佚名  来源:转自网络   更新时间:2015-11-25 14:47:47
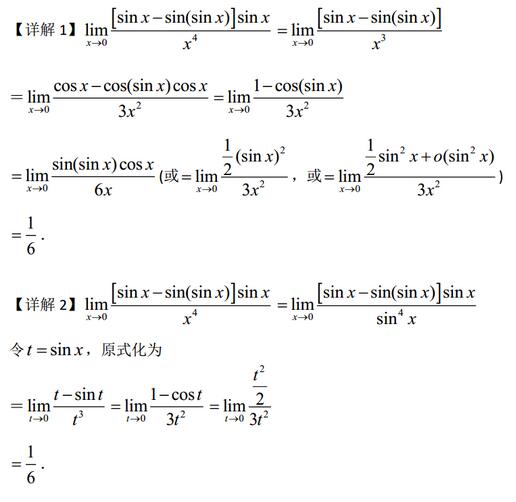
     考研数学中的高等数学里面的极限部分是历年考试的重要知识点,而也是比较容易失分的地方,为了帮助考生们理解极限的做题方法,下面就从一道考研数学极限的题目切入,回顾一下极限的计算方法。
   
    看大家能否快速而准确的求解出上面这个题目的结果。你能想到几种方法,哪种更好呢?求极限是真题当中的常考题型,计算极限的基本方法有:利用极限的四则运算、利用等价无穷小代换、利用两个重要极限、洛比达法则;一个题目经常会用到两种或两种以上的方法。下面就考生常遇到的求极限问题,提醒大家注意以下几点。

    1、客观题或者分析问题时,常遇到关于无穷大的四则运算,在此重申并总结下:

    (1)关于加减法:极限存在加或减极限不存在(包括极限是无穷大)=不存在

    极限不存在加或减极限不存在(包括极限是无穷大)=不一定

    (2)关于乘除法:极限存在乘或除极限不存在(包括极限是无穷大)=不一定

    极限不存在乘或除极限不存在(包括极限是无穷大)=不一定

  
    2、处理极限的计算的一般原则是判断类型,套用相应的解法。

    3、未定式的基本形式是型,处理未定式的主要方法是洛比达法则,对于型未定式,还经常可以采用分子、分母同除以最大项的办法进行分析求解。

    4、其他类型的未定式有,均可通过通分、取对数化为两种基本型的未定式。

    5、函数求极限题目中有一种情况,需注意左右极限的问题,考生在此处容易犯错误,现将此类函数总结如下。

    在自变量某一变化过程当中,产生左右极限不同的几种情况。

  
    6、特殊情况下,当使用等价无穷小代换求极限有困难时,可以考虑用泰勒公式进行展开,找出更高阶的等价无穷小量。

    7、在求极限过程中适当利用变量代换可以简化计算,如上面例题的【详解3】,常见的代换还有倒代换等。
    参考求解过程如下:

 
 
    8、已知极限求参数的问题,即是极限计算的逆问题。在选择题目中很常见,一般方法如下:
  
    以上是考研数学极限计算的讲解,同学们在做题的时候要善于总结,掌握解题的思路,从而提高自己的解题能力,相信在这样做之后我们的复习进度和效果会是十分显著的。

购买天津高校考研专业课资料请点击:http://www.52kaoyan.com/Shop/data/tianda/Index.html
分享到:
复制本文地址给好友 -
  • 上一篇文章:

  • 下一篇文章:
  • 发表评论】【加入收藏】【告诉好友】【打印此文】【关闭窗口】 
    文章搜索
    天津考研网版权、投稿与免责申明:
    1)凡本网署名文字、图片和音视频稿件,版权均属天津考研网所有。任何媒体、网站或个人未经本网协议授权不得转载、链接、转贴或以其他方式复制发表。已经本网协议授权的媒体、网站,在下载使用时必须注明稿件来源:天津考研网,违者本网将依法追究责任。
    2)本网注明"来源:转自网络"的文章均为转载稿,本网转载出于传递更多信息之目的。此类稿件并不代表本网观点,本网不承担此类稿件侵权行为的直接责任及连带责任。
    3. 如因作品内容、版权等需要同本网联系的,请在作品在本网发表之日起30日内联系,否则视为放弃相关权利。
      热门考研服务
      最新考研信息
      相关文章
    考研数一数二数三🎈
    🔥考研数学一、二、三复习用书🔥
    考研数学满分-学长学姐是怎么学的-超超详细!!
    给大家分享几个考研英语学习的规划的几个版本
    考研数学复习干货【20考研】
    从60分到138分的逆袭,20考研数学复习全攻略!
    考研英语、数学、政治的答题策略和时间分配!-19考
    2017考研数学:五步教你脱离题海战术
    考研数学复习四个层次,你走到了哪一步?
    考研数学:真题使用指导方法
      热卖考研资料
    资讯栏目导航
    新闻政策 考研新闻 考研政策 热点点评
    复习指导 英语 数学 政治 专业课 分数线 大纲 复试
    经验心得 经验交流 考研故事
    院校导航 天津大学 天津医科大学 天津师范大学
    南开大学 天津财经大学 河北工业大学
    天津工业大学 中国民航大学 天津外国语大学
    天津理工大学 天津科技大学 天津商业大学
    天津中医药大学 天津城市建设学院 其他
    统考科目 心理学考研 教育学考研 历史学考研
    计算机考研 医学考研网 法律硕士 农学
    热门专业 会计学 行政管理 土木建筑 化学 机械 法学
    自动化 新闻传播 人力资源 生物 电气 中文
    管理学 电子通信 国际关系 外语 经济 社保
    | 关于我们 | 网站导航 | 招聘信息 | 广告业务 | 隐私条款 | 客服中心 | 联系我们设为首页 顶部 有问题,找研哥 ! 研哥微信:xdfxk2014
    版权所有 Copyright©2003-2025 天津格瑞斯教育科技有限公司 All Rights Reserved 旗下网站:[天津考研网]52kaoyan.com
    公司地址:天津市和平区卫津路佳怡国际D座底商(天津大学东门斜对过) -办公室地图-行车路线 工商网银在线支付平台,安全快捷!支付宝特约商家,信任标志!考研一站式服务,考研无忧!
    法律顾问:王自强律师 信息产业部备案:津ICP备07001356号-3