网站通行证  
天津考研网 资讯中心-网尽考研信息 考研专卖店-考研资料书籍一站购齐 考研辅导班 BBS社区-便易的交流平台 专业课教材 院校导航-权威院校招生信息 下载中心-海量考研复习资料 客服中心-解决所有问题 考研热线4000220908
 您现在的位置: 天津考研网 >> 资讯中心 >> 复习指导 >> 数学 >> 正文 相信自己,加油!
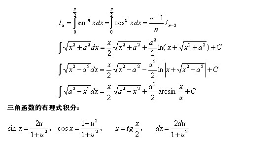
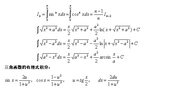
    [组图]考研高等数学公式大集合
考研高等数学公式大集合
责任编辑:teng91  作者:佚名  来源:转自网络   更新时间:2012-5-29 10:03:54

 

  

 

 

 

  空间解析几何和向量代数:

 

 

  多元函数微分法及应用:

 

  微分法在几何上的应用:

  方向导数与梯度:

  

  多元函数的极值及其求法:

    

分享到:
复制本文地址给好友 -
  • 上一篇文章:

  • 下一篇文章:
  • 发表评论】【加入收藏】【告诉好友】【打印此文】【关闭窗口】 
    文章搜索
    天津考研网版权、投稿与免责申明:
    1)凡本网署名文字、图片和音视频稿件,版权均属天津考研网所有。任何媒体、网站或个人未经本网协议授权不得转载、链接、转贴或以其他方式复制发表。已经本网协议授权的媒体、网站,在下载使用时必须注明稿件来源:天津考研网,违者本网将依法追究责任。
    2)本网注明"来源:转自网络"的文章均为转载稿,本网转载出于传递更多信息之目的。此类稿件并不代表本网观点,本网不承担此类稿件侵权行为的直接责任及连带责任。
    3. 如因作品内容、版权等需要同本网联系的,请在作品在本网发表之日起30日内联系,否则视为放弃相关权利。
      热门考研服务
      最新考研信息
      相关文章
    2023年考研复试分数线国家线
    天津地区考研成绩预计2021年2月26日公布
    考研报名确认结束 全国16057人报考南开
    天津市教育招生考试院致2021年在津参加研考考生的
    如何快速掌握导师论文?复试,讨好导师的“人情秘
    复试真的有黑幕吗?黑在哪里?
    341万“考研大军”,他们为何考研?
    考研-考试流程揭秘,脑补一下,提前进入状态!
    今年考研人数比去年增加了50万!史上最难留学年到
    【2020考研冲刺】考研复习冲刺,如何克服进度不前
      热卖考研资料
    资讯栏目导航
    新闻政策 考研新闻 考研政策 热点点评
    复习指导 英语 数学 政治 专业课 分数线 大纲 复试
    经验心得 经验交流 考研故事
    院校导航 天津大学 天津医科大学 天津师范大学
    南开大学 天津财经大学 河北工业大学
    天津工业大学 中国民航大学 天津外国语大学
    天津理工大学 天津科技大学 天津商业大学
    天津中医药大学 天津城市建设学院 其他
    统考科目 心理学考研 教育学考研 历史学考研
    计算机考研 医学考研网 法律硕士 农学
    热门专业 会计学 行政管理 土木建筑 化学 机械 法学
    自动化 新闻传播 人力资源 生物 电气 中文
    管理学 电子通信 国际关系 外语 经济 社保
    | 关于我们 | 网站导航 | 招聘信息 | 广告业务 | 隐私条款 | 客服中心 | 联系我们设为首页 顶部 有问题,找研哥 ! 研哥微信:xdfxk2014
    版权所有 Copyright©2003-2025 天津格瑞斯教育科技有限公司 All Rights Reserved 旗下网站:[天津考研网]52kaoyan.com
    公司地址:天津市和平区卫津路佳怡国际D座底商(天津大学东门斜对过) -办公室地图-行车路线 工商网银在线支付平台,安全快捷!支付宝特约商家,信任标志!考研一站式服务,考研无忧!
    法律顾问:王自强律师 信息产业部备案:津ICP备07001356号-3